- Registriert
- 10.09.2017
- Beiträge
- 1.933
- Reaktionen
- 866
versuche die Musik auch abstrakt zu verstehen:
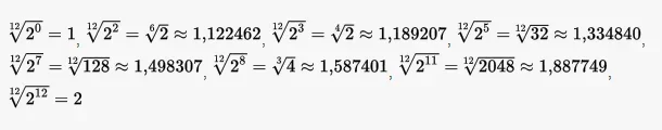
Zwischen zwei Tönen, die um eine Oktave getrennt sind, besteht ein Frequenzverhältnis um den Faktor 2. Der berühmte Kammerton a bei 440 Hz hat also Oktavverwandte bei 110, 220, 880, 1760 Hz etc. Heutzutage teilt man eine Oktave auf in 12 Halbtöne (c -> cis -> d -> dis -> e -> f -> fis -> g -> gis -> a -> ais -> h -> ...), die sich in einer geometrischen Reihe befinden mit dem Faktor 12te Wurzel aus 2. https://de.wikipedia.org/wiki/Gleichstufige_Stimmung
Versuche mal die Dur- und Moll-Tonleitern abstrakt auf dieser Ebene zu verstehen. Dann fällt Dir das Transponieren, der Quintenzirkel und die Pentatonik leicht. cis/des, dis/es, fis/ges, gis/as, ais/b können heute enharmonisch ausgetauscht werden, da sie die gleiche Frequenz haben.
In der Musiktheorie gibt es viel Gelaber und viel Doppeltes. Versuche das Wesentliche abstrakt zu erkennen. Schau Dir die Stufen- und Funktionstheorie an.
Zwischen zwei Tönen, die um eine Oktave getrennt sind, besteht ein Frequenzverhältnis um den Faktor 2. Der berühmte Kammerton a bei 440 Hz hat also Oktavverwandte bei 110, 220, 880, 1760 Hz etc. Heutzutage teilt man eine Oktave auf in 12 Halbtöne (c -> cis -> d -> dis -> e -> f -> fis -> g -> gis -> a -> ais -> h -> ...), die sich in einer geometrischen Reihe befinden mit dem Faktor 12te Wurzel aus 2. https://de.wikipedia.org/wiki/Gleichstufige_Stimmung
Versuche mal die Dur- und Moll-Tonleitern abstrakt auf dieser Ebene zu verstehen. Dann fällt Dir das Transponieren, der Quintenzirkel und die Pentatonik leicht. cis/des, dis/es, fis/ges, gis/as, ais/b können heute enharmonisch ausgetauscht werden, da sie die gleiche Frequenz haben.
In der Musiktheorie gibt es viel Gelaber und viel Doppeltes. Versuche das Wesentliche abstrakt zu erkennen. Schau Dir die Stufen- und Funktionstheorie an.





Ich habe mir aber vorgenommen immer wieder ein bisserl in den Grundlagen, die Du mir das letzte Mal empfohlen hast, nachzulesen.


